next up previous contents
Next: Integral Calculus Up: Topics to Study Previous: Limits

Differential Calculus

Definition

ƒ'(x) =
and
if this limit exists
ƒ'(c) =

If ƒ is differentiable at x = c, then ƒ is continuous at x = c.

Differentiation Rules

General and Logarithmic Differentiation Rules

1. [cu] = cu' 2. [u v] = u' v' sum rule
3. [uv] = uv' + vu' product rule4. [] = quotient rule
5. [c] = 0 6. [un] = nun-1u' power rule
7. [x] = 1 8. [ln u] =
9. [eu] = euu' 10.[ƒ(g(x))] = ƒ' (g(x)) g' (x) chain rule

Derivatives of the Trigonometric Functions

1. [sin u] = (cos u)u' 2. [csc u] = -(csc u cot u)u'
3. [cos u] = -(sin u)u' 4. [sec u] = (sec u tan u)u'
5. [tan u] = (sec2 u)u' 6. [cot u] = -(csc2 u)u'

Derivatives of the Inverse Trigonometric Functions

1. [arcsin u] = 2. [arccsc u] =
3. [arccos u] = 4. [arcsec u] =
5. [arctan u] = 6. [arccot u] =

Implicit Differentiation

Implicit differentiation is useful in cases in which you cannot easily solve for y as a function of x.

Exercise:Find for y3 + xy - 2y - x2 = -2
[y3 + xy - 2y - x2] = [-2]
3y2 + (x + y) - 2 - 2x = 0
(3y2 + x - 2) = 2x - y
=

Higher Order Derivatives

These are successive derivatives of ƒ(x). Using prime notation, the second derivative of ƒ(x), ƒ''(x), is the derivative of ƒ'(x). The numerical notation for higher order derivatives is represented by:

ƒ(n)(x) = y(n)

The second derivative is also indicated by .

Exercise:Find the third derivative of y = x5.
y' = 5x4
y'' = 20x3
y''' = 60x2

Derivatives of Inverse Functions

If y = ƒ(x) and x = ƒ-1(y) are differentiable inverse functions, then their derivatives are reciprocals:


Logarithmic Differentiation

It is often advantageous to use logarithms to differentiate certain functions.

1. Take ln of both sides

2. Differentiate

3. Solve for y'

4. Substitute for y

5. Simplify

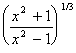
Exercise:Find for y =
ln y = [ln(x2 + 1) - ln(x2 - 1)]
=
y' =
y' =

Mean Value Theorem

If ƒ is continuous on [a, b] and differentiable on (a, b), then there exists a number c in (a, b) such that

ƒ'(c) =

L'Hôpital's Rule

If lim ƒ(x)/g(x) is an indeterminate of the form 0/0 or , and if lim ƒ'(x)/g'(x) exists, then

lim = lim

The indeterminate form 0 can be reduced to 0/0 or so that L'Hôpital's Rule can be applied.

Note: L'Hôpital's Rule can be applied to the four different indeterminate forms of :

, , , and

Exercise:What is ?
(A) 2
(B) 1
(C) 0
(D)
(E) The limit does not exist.
The answer is B. = 1

Tangent and Normal Lines

The derivative of a function at a point is the slope of the tangent line. The normal line is the line that is perpendicular to the tangent line at the point of tangency.

Exercise:The slope of the normal line to the curve y = 2x2 + 1 at (1, 3) is
(A) -1/12
(B) -1/4
(C) 1/12
(D) 1/4
(E) 4
The answer is B.y' = 4x
y = 4(1) = 4
slope of normal = -1/4

Extreme Value Theorem

If a function ƒ(x) is continuous on a closed interval, then ƒ(x) has both a maximum and minimum value in the interval.

Curve Sketching

SituationIndicates
ƒ'(c) > 0ƒ increasing at c
ƒ'(c) < 0ƒ decreasing at c
ƒ'(c) = 0horizontal tangent at c
ƒ'(c) = 0, ƒ'(c-) < 0, ƒ'(c+) > 0 relative minimum at c
ƒ'(c) = 0, ƒ'(c-) > 0, ƒ'(c+) < 0 relative maximum at c
ƒ'(c) = 0, ƒ''(c) > 0 relative minimum at c
ƒ'(c) = 0, ƒ''(c) < 0 relative maximum at c
ƒ'(c) = 0, ƒ''(c) = 0 further investigation required
ƒ''(c) > 0concave upward
ƒ''(c) < 0concave downward
ƒ''(c) = 0further investigation required
ƒ''(c) = 0, ƒ''(c-) < 0, ƒ''(c+) > 0 point of inflection
ƒ''(c) = 0, ƒ''(c-) > 0, ƒ''(c+) < 0 point of inflection
ƒ(c) exists, ƒ'(c) does not exist possibly a vertical tangent; possibly an absolute max. or min.

Newton's Method for Approximating Zeros of a Function

xn + 1 = xn -

To use Newton's Method, let x1 be a guess for one of the roots. Reiterate the function with the result until the required accuracy is obtained.

Optimization Problems

Calculus can be used to solve practical problems requiring maximum or minimum values.

Exercise:A rectangular box with a square base and no top has a volume of 500 cubic
inches. Find the dimensions for the box that require the least amount of
material.
Let V = volume, S = surface area, x = length of base, and h = height of box
V = x2h = 500
S = x2 + 4xh = x2 + 4x(500/x2) = x2 + (2000/x)
S' = 2x - (2000/x2) = 0
2x3 = 2000
x = 10, h = 5
Dimensions: 10 x 10 x 5 inches

Rates-of-Change Problems

Distance, Velocity, and Acceleration

y = s(t) position of a particle along a line at time t

v = s'(t) instantaneous velocity (rate of change) at time t

a = v'(t) = s''(t) instantaneous acceleration at time t

Related Rates of Change

Calculus can be used to find the rate of change of two or more variable that are functions of time t by differentiating with respect to t.

Exercise:A boy 5 feet tall walks at a rate of 3 feet/sec toward a streetlamp that is
12 feet above the ground.
a) What is the rate of change of the tip of his shadow?
b) What is the rate of change of the length of his shadow?
b) = ft/sec a) = ft/sec

Note: the answers are independent of the distance from the light.

Exercise:A conical tank 20 feet in diameter and 30 feet tall (with vertex down)
leaks water at a rate of 5 cubic feet per hour. At what rate is the water
level dropping when the water is 15 feet deep?
V = r2h h2
5 = h2
V = h3 ft/hr


next up previous contents
Next: Integral Calculus Up: Topics to Study Previous: Limits